top of page
Search

Unheard Voices: The Handwritten Story of Eric Gassy and the Injustice He Faced

  • Feb 26, 2025
  • 1 min read

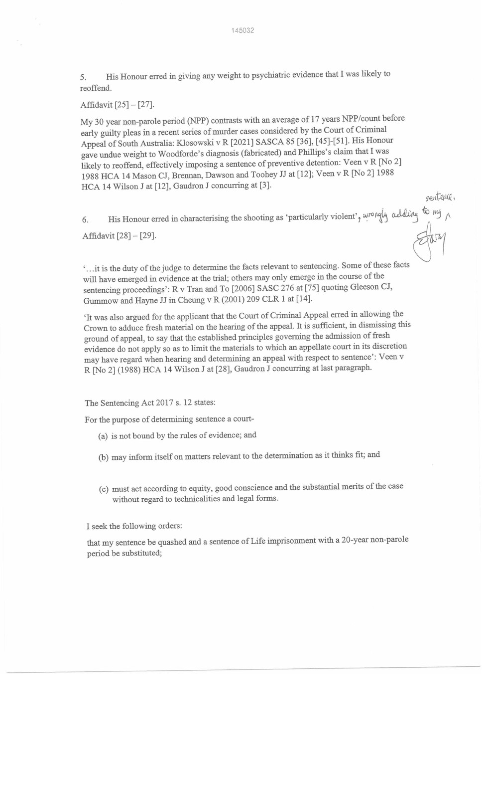
Amid ink-stained pages and whispered truths, Eric Gassy's narrative emerges—a testament to an indomitable spirit, unyielding to silence.



 
 
 

Recent Posts

See All
Denial of Request

Unreasonable refusal of repeated requests for a single cell and allocation of cellmates who have been offered inducements to harm me. On...

 
 
 

Comments


Get in Touch

Want to reach out to Eric directly? You can send letters to the following address:
 

1 Peter Brown Drive,
North Field, S.A. 5085, South Australia.

 

Feel free to write to Eric with any questions, words of support, or to learn more about his cause. Your letters can make a meaningful difference in Eric's journey and advocacy efforts.

© 2025 by Unveiling Eric Gassy's Untold Story. All Rights Reserved.

bottom of page